网站首页  词典首页


请输入您要查询的字词:

 

字词 盐酸左卡巴斯汀
类别 中英文字词句释义及详细解析
释义 盐酸左卡巴斯汀

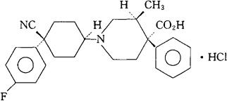
C26H29FN2O2·HCl=456.99

CAS-79547-78-7

CAS-79516-68-0(levocabastine)

(-)-[1-(顺式),3α,4β]-1-[4-氰基-4-(4-氟苯基)环己基]-3-甲基-4-苯基-4-哌啶羧酸,单盐酸盐。

(-)-[1-(cis),3α,4β]-1-[4-Cyano-4-(4-fluorophenyl)cyclohexyl]-3-methyl-4-phenyl-4-piperidinecarboxylic acid,monohydrochloride.

(-)-反式-1-[顺式-4-氰基-4-(对-氟苯基)环己基]-3-甲基-4-苯基异哌啶甲酸单盐酸盐。

(-)-trans-1-[Cis-4-Cyano-4-(p-fluorophenyl)cyclohexyl]-3-methyl-4-phenylisonipecotic acid monohydrochloride.

抗组胺药。

Levocabastine Hydrochloride,R50,547.

INN & BAN(Levocabastine),USAN.

随便看

 

离鸟网收录3541549条中英文词条,其功能与新华字典、现代汉语词典、牛津高阶英汉词典等各类中英文词典类似,基本涵盖了全部常用中英文字词句的读音、释义及用法,是语言学习和写作的有利工具。

 

Copyright © 2004-2024 vtrois.com All Rights Reserved
更新时间:2026/4/18 12:16:57