网站首页  词典首页


请输入您要查询的字词:

 

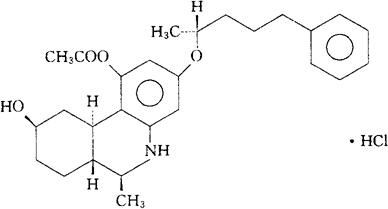
字词 盐酸左南曲朵
类别 中英文字词句释义及详细解析
释义 盐酸左南曲朵

C27H35NO4·HCl=474.04

CAS-70222-86-5

CAS-71048-87-8(levonantradol)

5,6,6a,7,8,9,10,10a-八氢-6-甲基-3-(1-甲基-4-苯基丁氧)-,1,9-菲啶二醇,1-醋酸酯,盐酸盐[6S-[3(S*),6α,6aα,9α,10aβ]]-。

1,9-Phenanthridinediol,5,6,6a,7,8,9,10,10a-octahydro-6-methyl-3-(1-methyl-4-phenylbutoxy)-,1-acetate,hydrochloride,[6S-[3(S*),6α,6aα,9α,10aβ]]-.

(-)-(6S,6aR,9R,10aR)-5,6,6a,7,8,9,10,10a-八氢-6-甲基-3-[(R)-1-甲基-4-苯丁氧基]-1,9-菲啶二醇-1-醋酸酯,盐酸盐。

(-)-(6S,6aR,9R,10aR)-5,6,6a,7,8,9,10,10aOctahydro-6-methyl-3-[(R)-1-methyl-4-phenylbutoxy]-1,9-phenanthridinediol-1-acetate,hydrochloride.

镇痛药。

盐酸左南曲多。

Levonantradol Hydrochloride,CP-50,556-1.

盐酸左南曲朵。

INN & BAN(Levonantradol),USAN.

随便看

 

离鸟网收录3541549条中英文词条,其功能与新华字典、现代汉语词典、牛津高阶英汉词典等各类中英文词典类似,基本涵盖了全部常用中英文字词句的读音、释义及用法,是语言学习和写作的有利工具。

 

Copyright © 2004-2024 vtrois.com All Rights Reserved
更新时间:2026/4/18 0:36:11