网站首页  词典首页


请输入您要查询的字词:

 

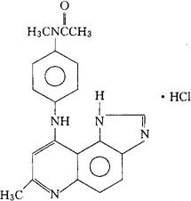
字词 盐酸安喹咪唑
类别 中英文字词句释义及详细解析
释义 盐酸安喹咪唑

C2oH19N5O·HCl=381.86

CAS-55435-65-9

N-甲基-4′-[(7-甲基-1H-咪唑并[4,5-f]喹啉-9-基)氨基]乙酰苯胺盐酸盐。

N-Methy1-4′-[(7-methy1-1H-imidazo[4,5-f]quinolin-9-yl)amino]acetanilide hydrochloride.

抗肿瘤药。

盐酸阿考达唑。

Acodazole Hydrochloride.

USAN.

随便看

 

离鸟网收录3541549条中英文词条,其功能与新华字典、现代汉语词典、牛津高阶英汉词典等各类中英文词典类似,基本涵盖了全部常用中英文字词句的读音、释义及用法,是语言学习和写作的有利工具。

 

Copyright © 2004-2024 vtrois.com All Rights Reserved
更新时间:2026/4/19 16:02:35