网站首页  词典首页


请输入您要查询的字词:

 

字词 盐酸妥布氯唑
类别 中英文字词句释义及详细解析
释义 盐酸妥布氯唑

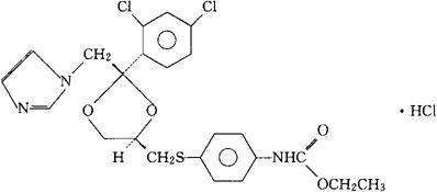
C23H23Cl2N3O4S·HCl=544.88

CAS-83529-08-2

CAS-84697-22-3(free base)

顺-(±)-[4-[[[2-(2,4-二氯苯基)-2-(1H-咪唑-1-基甲基)-1,3-二氧戊环-4基]甲基]硫代]苯基]-氨基甲酸,乙酯,单盐酸盐。

Carbamic acid[4-[[[2-(2,4-dichlorophenyl)-2-(1Himidazol-1-ylmethyl)-1,3-dioxolan-4-yl]methyl]thio]phenyl]-,ethyl ester,monohydrochloride,cis(±)-.

(±)-顺-对-[[[2-(2,4-二氯苯基)-2-(咪唑-1-基甲基)-1,3-二氧戊环-4-基]甲基]-硫代]苯氨基甲酸乙酯,单盐酸盐。

Ethyl(±)-cis-p-[[[2-(2,4-dichlorophenyl)-2-(imidazol)-1-ylmethyl)-1,3-dioxolan-4-yl]methyl]-thio]carbanilate,monohydrochloride.

抗肿瘤药,抗真菌药。

Tubulozole Hydrochloride,R 46,846.

INN,USAN.

随便看

 

离鸟网收录3541549条中英文词条,其功能与新华字典、现代汉语词典、牛津高阶英汉词典等各类中英文词典类似,基本涵盖了全部常用中英文字词句的读音、释义及用法,是语言学习和写作的有利工具。

 

Copyright © 2004-2024 vtrois.com All Rights Reserved
更新时间:2026/4/18 7:08:21