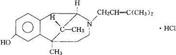
盐酸喷他佐辛
C19H27NO·HCl=321.89 CAS-64024-15-3 CAS-359-83-1(pentazocine) (2α,6α,11R*)-1,2,3,4,5,6-六氢-6,11-二甲基-3-(3-甲基-2-丁烯基)-2,6-亚甲基-3-苯并吖辛因-8-醇盐酸盐。 (2α,6α,11R*)-1,2,3,4,5,6-Hexahydro-6,11-dimethyl-3-(3-methyl-2-butenyl)-2,6-methano-3-benzazocin-8-ol,hydrochloride. (2R*,6R*,11R*)-1,2,3,4,5,6-六氢-6,11-二甲基-3-(3-甲基-2-丁烯基)-2,6-亚甲基-3-苯并吖辛因-8-醇盐酸盐。 (2R*,6R*,11R*)-1,2,3,4.5,6-Hexahydro-6,11-dimethyl-3-(3-methyl-2-butenyl)-2,6-methano-3-benzazocin-8-ol hydrochloride. 镇痛药。 盐酸戊唑星。 Pentazocine Hydrochloride,Talwin. USAN,USP.  |