网站首页  词典首页


请输入您要查询的字词:

 

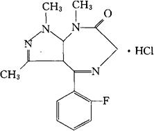
字词 盐酸唑拉西泮
类别 中英文字词句释义及详细解析
释义 盐酸唑拉西泮

C15H15FN4O·HCl=322.77

CAS-33754-49-3

CAS-31352-82-6(zolazepam)

4-(2-氟苯基)-6,8-二氢-1,3,8-三甲基吡唑并[3,4-e][1,4]二氮杂-7(1H)-酮,单盐酸盐。

Pyrazolo[3,4-e][1,4]diazepin-7(1H)-one,4-(2-fluorophenyl)-6,8-dihydro-1,3,8-trimethyl,monohydrochloride,

4-(邻-氟苯基)-6,8-二氢-1,3,8-三甲基吡唑并[3,4-e][1,4]二氮杂-7(1H)-酮单盐酸盐。

4-(o-Fluorophenyl)-6,8-dihydro-1,3,8-trimethylpyrazolo[3,4-e][1,4]diazepin-7(1H)-one monohydrochloride.

镇静药。

Zolazepam Hydrochloride,Component of Telazol, CI-716.

INN,BAN,USAN.

随便看

 

离鸟网收录3541549条中英文词条,其功能与新华字典、现代汉语词典、牛津高阶英汉词典等各类中英文词典类似,基本涵盖了全部常用中英文字词句的读音、释义及用法,是语言学习和写作的有利工具。

 

Copyright © 2004-2024 vtrois.com All Rights Reserved
更新时间:2026/4/17 21:23:32