网站首页  词典首页


请输入您要查询的字词:

 

字词 盐酸哌泊索仑
类别 中英文字词句释义及详细解析
释义 盐酸哌泊索仑

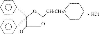
C22H25NO3·HCl=387.91

CAS-18174-58-8

CAS-23744-24-3(pipoxolan)

5,5-二苯基-2-[2-(1-哌啶基)乙基]-1,3-二氧戊环-4-酮盐酸盐。

5,5-Diphenyl-2-[2-(1-piperidinyl)ethyl]-1,3-dioxolan-4-one,hydrochloride.

5,5-二苯基-2-(2-哌啶乙基)-1,3-二氧戊环-4-酮盐酸盐。

5,5-Diphenyl-2-(2-piperidinoethyl)-1,3-dioxolan-4-one hydrochloride.

解痉药,肌肉松弛药。

盐酸匹沧克西兰。

Pipoxolan Hydrochloride,Paraespas,Rocofin,Rowapraxin,Rowell,BR 18.

INN(Pipoxolan),USAN.

随便看

 

离鸟网收录3541549条中英文词条,其功能与新华字典、现代汉语词典、牛津高阶英汉词典等各类中英文词典类似,基本涵盖了全部常用中英文字词句的读音、释义及用法,是语言学习和写作的有利工具。

 

Copyright © 2004-2024 vtrois.com All Rights Reserved
更新时间:2026/4/17 15:37:57