盐酸哌唑嗪[中]
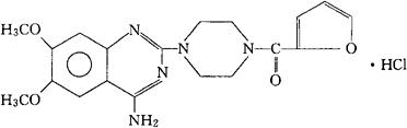
C19H21N5O4·HCl=419.87 CAS-19237-84-4 1-[4-氨基-6,7-二甲氧-2-喹唑啉基]-4-[2-呋喃甲酰]哌嗪盐酸盐。 1-[4-Amino-6,7-dimethoxy-2-quinazolinyl]-4-[2-furoyl]piperazine hydrochloride. 抗高血压药。用于高血压及充血性心力衰竭。 Minipress,Hypovase,Prazosin Hydrochloride. 盐酸哌唑嗪片,盐酸哌唑嗪膜。 USAN,USP,MI. 
|