网站首页  词典首页


请输入您要查询的字词:

 

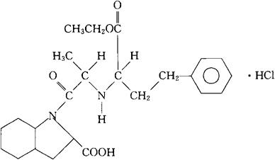
字词 盐酸吲哚普利
类别 中英文字词句释义及详细解析
释义 盐酸吲哚普利

C24H34N2O5·HCl=467.01

CAS-80828-32-6

1-[N-(1-乙氧羰基-3-苯丙基)丙氨酰]八氢吲哚-2-羧酸盐酸盐。

1-[N-(1-Ethoxycarbonyl-3-phenylpropyl)alanyl]octahydroindole-2-carboxylic acid hydrochloride.

抗高血压药。

盐酸吲哚拉酯。

Indolapril Hydrochloride.

INN(Indolapril),USAN.

随便看

 

离鸟网收录3541549条中英文词条,其功能与新华字典、现代汉语词典、牛津高阶英汉词典等各类中英文词典类似,基本涵盖了全部常用中英文字词句的读音、释义及用法,是语言学习和写作的有利工具。

 

Copyright © 2004-2024 vtrois.com All Rights Reserved
更新时间:2026/4/17 16:31:59