网站首页  词典首页


请输入您要查询的字词:

 

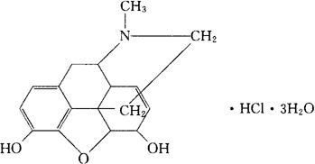
字词 盐酸吗啡[典]
类别 中英文字词句释义及详细解析
释义 盐酸吗啡[典]

C17H19NO3·HCl·3H2O=375.85

CAS-52-26-6

7,8-二去氢-4,5α-环氧-17-甲基吗啡喃-3,6-二醇,盐酸盐(1∶1)三水化合物。

7,8-Didehydro-4,5α-epoxy-17-methylmorphinan-3,6α-diol hydrochloride(1∶1)(salt)trihydrate.

镇痛药。用于剧烈疼痛及麻醉时的辅助用药。

Morphine Hydrochloride,Morphinae Hydrochloridum(台)。

盐酸吗啡片,盐酸吗啡注射液。

BP,EP,JP,USAN,USP,MI.

随便看

 

离鸟网收录3541549条中英文词条,其功能与新华字典、现代汉语词典、牛津高阶英汉词典等各类中英文词典类似,基本涵盖了全部常用中英文字词句的读音、释义及用法,是语言学习和写作的有利工具。

 

Copyright © 2004-2024 vtrois.com All Rights Reserved
更新时间:2026/4/21 17:11:25