网站首页  词典首页


请输入您要查询的字词:

 

字词 盐酸吖啶黄[部]
类别 中英文字词句释义及详细解析
释义 盐酸吖啶黄[部]

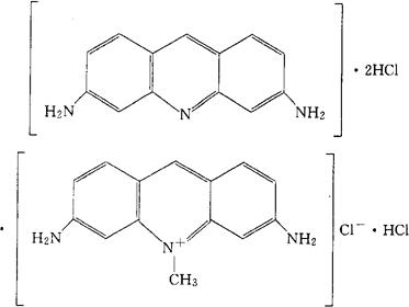
CAS-8063-24-9

3,6-二氨基-10-甲基吖啶盐酸氯化物与。

3,6-二氨基吖啶二盐酸盐的混合物。

Mixture of the hydrochlorides 3,6-diamino-10-methyl acridinium chloride and 3,6-diaminoacridine.

消毒防腐药。用于皮肤、创口、鼻、喉、黏膜消毒。

吖啶黄。

Acriflavini Hydrochloride,Acriflavinum Chloride, Trypaflavine.

INN,DCF,DCIT,GDP,NF,PH,USAN,USSRP,MI.

随便看

 

离鸟网收录3541549条中英文词条,其功能与新华字典、现代汉语词典、牛津高阶英汉词典等各类中英文词典类似,基本涵盖了全部常用中英文字词句的读音、释义及用法,是语言学习和写作的有利工具。

 

Copyright © 2004-2024 vtrois.com All Rights Reserved
更新时间:2026/4/18 12:12:07