网站首页  词典首页


请输入您要查询的字词:

 

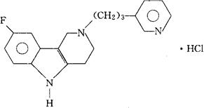
字词 盐酸吉伏曲林
类别 中英文字词句释义及详细解析
释义 盐酸吉伏曲林

C19H20FN3·HCl=345.85

CAS-112243-58-0

CAS-107266-06-8(gevotroline)

8-氟-2,3,4,5-四氢-2-[3-(3-吡啶基)丙基]-1H-吡啶并[4,3-b]吲哚单盐酸盐。

8-Fluoro-2,3,4,5-tetrahydro-2-[3-(3-pyridinyl)propyl]-1H-pyrido[4,3-b]indole,monohydrochloride.

抗精神病药。

Gevotroline Hydrochloride,WY-47384.

INN(Gevotroline),USAN.

随便看

 

离鸟网收录3541549条中英文词条,其功能与新华字典、现代汉语词典、牛津高阶英汉词典等各类中英文词典类似,基本涵盖了全部常用中英文字词句的读音、释义及用法,是语言学习和写作的有利工具。

 

Copyright © 2004-2024 vtrois.com All Rights Reserved
更新时间:2026/4/18 5:47:20