网站首页  词典首页


请输入您要查询的字词:

 

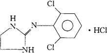
字词 盐酸可乐定[典]
类别 中英文字词句释义及详细解析
释义 盐酸可乐定[典]

C9H9Cl2N3·HCl=266.56

CAS-4205-91-8

2-[(2,6-二氯苯基)亚氨基]咪唑烷的单盐酸盐。

2-[(2,6-Dichlorophenyl)imino]imidazolidine monohydrochloride.

抗高血压药,可激动中枢α2-肾上腺素受体。用于高血压症。

盐酸氯压定,盐酸可乐宁,血压得平。

Clonidine Hydrochloride,Catapres,Isoglaucon.

盐酸可乐定片(盐酸可乐宁片),盐酸可乐定注射液,盐酸可乐定膜。

BP,USAN,USP.MI,

随便看

 

离鸟网收录3541549条中英文词条,其功能与新华字典、现代汉语词典、牛津高阶英汉词典等各类中英文词典类似,基本涵盖了全部常用中英文字词句的读音、释义及用法,是语言学习和写作的有利工具。

 

Copyright © 2004-2024 vtrois.com All Rights Reserved
更新时间:2026/4/17 21:05:46