网站首页  词典首页


请输入您要查询的字词:

 

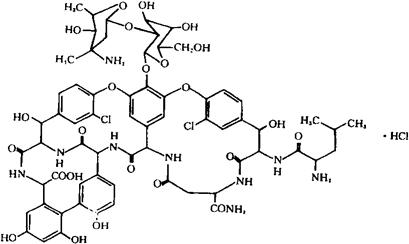
字词 盐酸去甲万古霉素[典]
类别 中英文字词句释义及详细解析
释义 盐酸去甲万古霉素[典]

C65H73Cl2N9O24·HCl=1471.72

CAS-91700-98-O

抗生素类药。

用于耐青霉素的葡萄球菌感染。

Norvancomycin Hydrochloride,Antibic A51568A.

注射用盐酸去甲万古霉素。

随便看

 

离鸟网收录3541549条中英文词条,其功能与新华字典、现代汉语词典、牛津高阶英汉词典等各类中英文词典类似,基本涵盖了全部常用中英文字词句的读音、释义及用法,是语言学习和写作的有利工具。

 

Copyright © 2004-2024 vtrois.com All Rights Reserved
更新时间:2026/4/17 23:42:10