网站首页  词典首页


请输入您要查询的字词:

 

字词 盐酸占替诺
类别 中英文字词句释义及详细解析
释义 盐酸占替诺

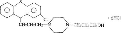
C23H31Cl3N2OS=489.95

CAS-17162-32-2

CAS-14008-71-0(xanthiol)

4-[3-(2-氯硫代鹯吨-9-基)丙基]-1-哌嗪丙醇盐酸盐。

4-[3-(2-Chlorothioxanthen-9-yl)propyl]-1-piperazinepropanol hydrochloride.

镇吐药,精神镇静药。

盐酸占噻吨。

Xanthiol Hydrochloride,Daxid,S 9-888.

INN(Xanthinol),USAN.

随便看

 

离鸟网收录3541549条中英文词条,其功能与新华字典、现代汉语词典、牛津高阶英汉词典等各类中英文词典类似,基本涵盖了全部常用中英文字词句的读音、释义及用法,是语言学习和写作的有利工具。

 

Copyright © 2004-2024 vtrois.com All Rights Reserved
更新时间:2026/4/18 13:52:15