网站首页  词典首页


请输入您要查询的字词:

 

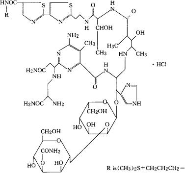
字词 盐酸博来霉素
类别 中英文字词句释义及详细解析
释义 盐酸博来霉素

C55H84N17O21S3·HCl=1451.91

CAS-11056-06-7(bleomycin)

N′-[3-(二甲锍基)丙基]博来酰胺盐酸盐。

N′-[3-(Dimethylsulfonio)propyl]bleomycinamide hydrochloride.

抗肿瘤药。用于上皮细胞癌、恶性淋巴瘤、颈部鱼鳞癌及牛皮癣等。

盐酸争光霉素。

Bleomycin Hydrochloride,Bleocin,Bleomycin A2,Blonoxane.

注射用盐酸争光霉素。

JP,USAN.

随便看

 

离鸟网收录3541549条中英文词条,其功能与新华字典、现代汉语词典、牛津高阶英汉词典等各类中英文词典类似,基本涵盖了全部常用中英文字词句的读音、释义及用法,是语言学习和写作的有利工具。

 

Copyright © 2004-2024 vtrois.com All Rights Reserved
更新时间:2026/4/18 8:02:17