网站首页  词典首页


请输入您要查询的字词:

 

字词 盐酸匹氨西林
类别 中英文字词句释义及详细解析
释义 盐酸匹氨西林

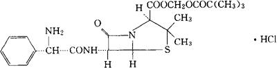
C22H29N3O6S·HCl=500.01

CAS-26309-95-5

D-(-)-6-(2-氨基-2-苯乙酰胺基)青霉烷酸羟甲酯,三甲基乙酸酯,盐酸盐。

Hydroxymethyl D-(-)-6-(2-amino-2-phenylacetamido)penicillanate pivalate hydrochloride.

D-(-)-6-(2-氨基-2-苯乙酰胺基)-3,3-二甲基-7-氧代-4-硫杂-1-氮杂双环[3.2.0]庚烷-2-羧酸羟甲酯,三甲基乙酸酯,盐酸盐。

Hydroxymethyl D-(-)-6-(2-anino-2-phenylacetamido)-3,3-dimethyl-7-oxo-4-thia-1-azabicyclo[3.2.0]heptane-2-carboxylate pivalate hydrochlozide.

抗生素类药。

盐酸匹氨苄西林。

Pivacillin,Pivapen,Pivampicillin Hydrochloride,Alphacillina,Berocillin,Centurina,Devonian,Diancina,Inacina,Isvitrol,Kesmicina,Maxifen,Oxidina,Pivacilin,Piraeicin,Pivapen,Pivatil,Pondocil,Pondocillin,Pondocillina Sanguicillin.

USAN,MI.

随便看

 

离鸟网收录3541549条中英文词条,其功能与新华字典、现代汉语词典、牛津高阶英汉词典等各类中英文词典类似,基本涵盖了全部常用中英文字词句的读音、释义及用法,是语言学习和写作的有利工具。

 

Copyright © 2004-2024 vtrois.com All Rights Reserved
更新时间:2026/4/18 20:34:05