网站首页  词典首页


请输入您要查询的字词:

 

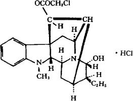
字词 盐酸劳拉义明
类别 中英文字词句释义及详细解析
释义 盐酸劳拉义明

C22H27ClN2O3·HCl=439.38

CAS-40819-93-0

CAS-47562-08-3(lorajmine)

17-氯乙酸阿吗兰-17,21-二醇酯,单盐酸盐17R,21α)-。

Ajmalan-17,21-diol,17-chloroacetate,monohydrochloride,(17R,21α)-.

阿吗灵17-(氯乙酸酯)单盐酸盐。

Ajmaline 17-(chloroacetate)monohydrochloride.

抗心律失常药。

盐酸劳拉明,盐酸缓脉灵。

Lorajmine Hydrochloride,Win 11831,Ditmos.

INN(Lorajmine),USAN.

随便看

 

离鸟网收录3541549条中英文词条,其功能与新华字典、现代汉语词典、牛津高阶英汉词典等各类中英文词典类似,基本涵盖了全部常用中英文字词句的读音、释义及用法,是语言学习和写作的有利工具。

 

Copyright © 2004-2024 vtrois.com All Rights Reserved
更新时间:2026/4/18 5:32:48