网站首页  词典首页


请输入您要查询的字词:

 

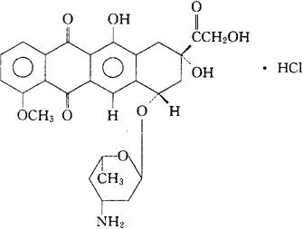
字词 盐酸依索比星
类别 中英文字词句释义及详细解析
释义 盐酸依索比星

C27H29NO10·HCl=563.99

CAS-63950-06-1

CAS-63521-85-7(esorubicin)

[2S-[2α(8R*10R*)4β,6β]]-10-[(4-氨基四氢-6-甲基-2H-吡喃-2-基)氧]-7,8,9,10-四氢-6,8,11-三羟基-8-(羟基乙酰)-1-甲氧基-5,12-并四苯二酮盐酸盐。

[2S-[2α(8R*10R*)4β,6β]]-10-[(4-Aminotetrahydro-6-methyl-2H-pyran-2-yl)oxy]-7,8,9,10-tetrahydro-6,8,11-trihydroxy-8-(hydroxyacetyl)-1-methoxy-5,12-naphthacenedione,hydrochloride.

(8S,10S)-10-[[(2S,4R,6S)-4-氨基四氢-6-甲基-2H-吡喃-2-基]氧]-8-乙醇酰-7,8,9,10-四氢-6,8,11-三羟基-1-甲氧基-5,12-并四苯二酮盐酸盐。

(8S,10S)-10-[[(2S,4R,6S)-4-Aminotetrahydro-6-methyl-2H-pyran-2-yl]oxy]-8-glycoloyl-7,8,9,10-tetrahydro-6,8,11-trihydroxy-1-methoxy-5,12-naphthacenedione hydrochloride.

抗生素类药。

Esorubicin Hydrochloride,IMI 58.

INN,USAN.

随便看

 

离鸟网收录3541549条中英文词条,其功能与新华字典、现代汉语词典、牛津高阶英汉词典等各类中英文词典类似,基本涵盖了全部常用中英文字词句的读音、释义及用法,是语言学习和写作的有利工具。

 

Copyright © 2004-2024 vtrois.com All Rights Reserved
更新时间:2026/4/18 17:39:59