盐酸佐柔比星
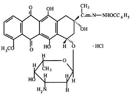
【化学名称】柔红霉素3-苯甲酰腙盐酸盐 【化学结构】  【药理作用】本品可抑制RNA和DNA的合成,对RNA的影响尤为明显,选择性地作用于嘌呤核苷。本品的作用和毒性与柔红霉素相似,但对骨髓与心脏的毒性较轻。在血中半衰期为30~50h,在脾、肝、肾的浓度高。在体内转化为醇的形式。48 h由尿中排出13%,从粪便排除70%。也有相当部分由胆汁排泄。本品LD50( mg/kg):小鼠皮下注射,13.66;腹腔注射,4.42;静脉注射,8.50。 【适应证】急性淋巴细胞白血病和急性原始粒细胞白血病,特别是急性单核细胞白血病的缓解。 【剂量与用法】静滴,每日 3 ~ 5 mg/kg,连续给药 5d为一疗程。将按病人体重计算量的本品注入供静滴的 250 ~ 500ml等渗氯化钠溶液中滴注。 【不良反应】胃肠道不适(如恶心、呕吐、腹泻),造血功能抑制、免疫抑制,偶见脱发,高尿酸血症,肝损伤,精子生成及排卵障碍,皮肤及粘膜炎症,如皮炎、口炎、溃疡性口炎,心肌病变,偶见静脉血管内膜刺激,过敏反应,全身皮肤发红。 【注意事项】禁用于严重骨髓抑制、急性感染、心肌损伤病人,妊娠期及授乳期妇女。本品禁用于肝功能障碍及进展迅速的感染病人。 事先或同时进行胸部 X线照射或给予对心脏有毒性的物质可增加心肌病变的危险。有经验的肿瘤学者认为本品与其他蒽环类抗肿瘤药物的交叉耐药性在诱导缓解的疗程中并无变化。治疗过程中直到治疗后3个月要采取避孕措施。本品不能与其他药物混合给药。 【制剂规格】注射剂,每小瓶含本品 52.8 mg(相当于碱 50 mg)。溶剂1安瓿 4 ml,含甘氨酸 148.8 mg,甘氨酸钠 1.488 mg。 【生产厂家】德国 Rhone-poulene公司。 |