网站首页  词典首页


请输入您要查询的字词:

 

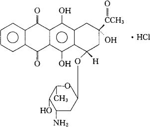
字词 盐酸伊达比星
类别 中英文字词句释义及详细解析
释义 盐酸伊达比星

C26H27NO9·HCl=533.96

CAS-57825-57-0

CAS-58957-92-9(idarubicin)

(7S-顺式)-9-乙酰-7-[(3-氨基-2,3,6-三脱氧-α-L-来苏-己吡喃糖基)氧]7,8,9,10-四氢-6,9,11-三羟-5,12-并四苯二酮盐酸盐。

(7S-cis)-9-Acetyl-7-[(3-amino-2,3,6-trideoxy-α-Llyxo-hexopyranosyl)oxy]-7,8,9,10-tetrahydro-6,9-11-trihydroxy5,12-naphthacenedione,hydrochloride.(1S,3S)-3-乙酰-1,2,3,4,6,11-六氢-3,5,12-三羟基-6,11-二氧代-1-并四苯基3-氨基2,3,6-三去氧-α-L来苏-己吡喃糖苷盐酸盐。

(1S,3S)-3-Acetyl-1,2,3,4,6,11-hexahydro-3,5,12-trihydroxy-6,11-dioxo-1-naphthacenyl 3-amino-2,3,6-trideoxy-α-L-lyxo-hexopyranoside,hydrochloride.

4-去甲氧基柔毛霉素。

4-Demethoxydaunomycim.

抗肿瘤药。

Idarubicin Hydrochloride,IMI 30,NSC 256439.

INN & BAN(Idarubicin),USAN.

随便看

 

离鸟网收录3541549条中英文词条,其功能与新华字典、现代汉语词典、牛津高阶英汉词典等各类中英文词典类似,基本涵盖了全部常用中英文字词句的读音、释义及用法,是语言学习和写作的有利工具。

 

Copyright © 2004-2024 vtrois.com All Rights Reserved
更新时间:2026/4/18 9:23:24