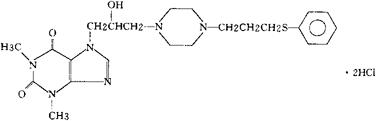
盐酸他齐茶碱
C23H32N6O3S·2HCl=545.53 CAS-79712-55-1 CAS-79712-55-3(tazifylline) (±)-3,7-二氢-7-[2-羟-3-[4-[3-(苯基硫代)丙基]-1-哌嗪基]丙基]-1,3-二甲基-1H-嘌呤-2,6-二酮,二盐酸。 1H-Purine-2,6-dione,3,7-dihydro-7-[2-hydroxy-3-[4-[3-(phenylthio)propyl]-1-piperazinyl]propyl]-1,3-dimethyl-,dihydrochloride,(±)-. (±)-7-[2-羟-3-[4-[3-(苯基硫代)丙基]-1-哌嗪基]±丙基]茶碱二盐酸盐。 (±)-7-[2-Hydroxy-3-[4-[3-(phenylthio)propyl]-lpiperazinyl]propyl]theophyline dihydrochloride. 抗组胺药,H1-受体拮抗药,支气管扩张药。 Tazifylline Hydrochloride,RS-49014,LN2974. INN(Tazifylline),USAN. 
|