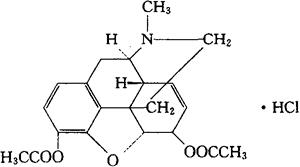
盐酸二醋吗啡
C21H23NO5·HCl=405.88 CAS-1502-95-0 CAS-561-27-3(diacetylmorphine) (5α,6α)-7,8-二脱氢-4,5-环氧-17-甲基-吗啡喃-3,6-二醇,二醋酸酯盐酸盐。 (5α,6α)-7,8-Didehydro-4,5-epoxy-17-methyl-morphinan-3,6-diol,diacetate(ester)hydrochloride. 镇痛药,麻醉药。 盐酸海洛因。 Diacetylmorphine Hydrochloride,Diamorphine Hydrochloride,Heroin Hydrochloride. BAN(Diamorphine),USAN,USP,MI.  |