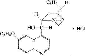
盐酸乙氢去甲奎宁
C21H28N2O2·HCl=376.91 CAS-3413-58-9 CAS-522-60-1-(ethylhydrocupreine) 6′-乙氧基-10,11-二氢-8α-脱氧辛可宁-9R-醇盐酸盐。 6′-Ethoxy-10,11-dihydro-8α-Cinchonan-9R-ol hydrochloridum. 氢化去甲奎宁乙醚盐酸盐。 Hydrocupreine ethyl ether hydrochloridum. 消毒防腐药,抗疟疾药。 盐酸双乙奎宁。 Ethylhydrocupreine Hydrochloridum,Neumolisina. NF,USAN,MI. 
|