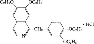
盐酸乙基罂粟碱
C24H29NO4·HCl=431.96 CAS-985-13-7 1-(3,4-二乙氧苄基)-6,7-二乙氧异喹啉盐酸盐。 1-(3,4-Diethoxybenzyl)-6,7-diethoxyisoquinoline hydrochloride. 解痉药。用于胆绞痛、心绞痛、动脉痉挛及动脉栓塞性疼痛。 盐酸依沙维林。 Ethavarine Hydrochloride,Ethatibid,Ethaquin,Ethatab,Neopavrin,Paveroid. INN,NFN,USAN,MI 
|