盐酸丁丙诺啡[中]
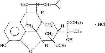
C29H41NO4·HCl=504.11 CAS-53152-21-9 CAS-52485-79-7(buprenorphine) [5α,7α(S)]-17-(环丙基甲基)-α-(1,1-二甲基乙基)-4,5-环氧-18,-19-二氢-3-羟基-6-甲氧基-α-甲基-6,14-乙烯吗啡烷-7-甲醇盐酸盐。 [5α,7α(S)]-17-(Cyclopropylmethyl)-α-(1,1-dimethylethyl)-4,5-epoxy-18,19-dihydro-3-hydroxy-6-methoxy-α-methyl-6,14-ethenomorphinan-7-methanol,hydrochloride. 21-环丙基-7α-[(S)-1-羟基-1,2,2-三甲基丙基]-6,14-内-桥亚乙基-6,7,8,14-四氢东罂粟碱盐酸盐。 21-Cyclopropyl-7α-[(S)-1-hydroxy-1,2,2-trimethylpropyl]-6,14-endo-ethano-6,7,8,14-tetrahydrooripavine hydrochloride. 镇痛药。 盐酸叔丁啡。 Buprenorphine Hydrochloride,CL 112,302,RX 6029-M HCl,UM 952,NIH 8805,Buprenex. INN & BAN(Amfebutamone),USAN. 
|