盐肤木树白皮
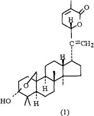
【名称出处】:《开宝本草》 【概况】: 基源 为漆树科盐肤木属植物盐肤木去掉栓皮的树皮。 原植物 盐肤木Rhus chinensis Mill.(Rh.javanica L.,Rh.semtalata Murr.) 余项参见“盐肤子”条。 【化学】: 含有三萜烯类成分,为:盐肤树内酯Rhuslactone。 参考文献 J Chem Soc Chem Commun 1980;(19):909 【药性】: 功效 清热解毒,止痢杀虫。 主治 血痢,肿毒,疮疥。 ❶ 《开宝本草》:“主破血、止血,血痢,杀蛔蛊.并煎服之。” ❷ 《湖南药物志》:“治无名肿毒,恶疮疥癣,鱼口下疳,蛇犬咬伤,煎水洗。”  用法用量 内服:煎汤,15~60g。 外用:煎水洗或捣敷。 。【临床应用】: 单方应用 《湖南药物志》:“治无名肿毒,蛇犬咬伤:盐肤树白皮,煎水外洗。” |