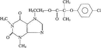
益多酯
C19H21ClN4O5=420.85 CAS-54504-70-0 2-(4-氯苯氧)-2-甲基-2-(1,2,3,6-四氢-1,3-二甲基-2,6-二氧代-7H-嘌呤-7-基)丙酸乙酯。 Propanoic acid,2-(4-chlorophenoxy)-2-methyl,2-(1,2,3,6-tetrahydro-1,3-dimethyl-2,6-dioxo-7Hpurin-7-yl)ethyl ester. 2-(对-氯苯氧)-2-甲基丙酸与7-(2-羟乙基)茶碱的酯。 2-(p-Chlorophenoxy)-2-methylpropionic acid,ester with 7-(2-hydroxyethyl)theophylline. 抗高脂蛋白血症药。用于Ⅱ-Ⅳ型高脂血症,也可用于兼有糖尿病、高血压或其他心血管病患者。 多利平酯,茶贝特。 Theofibrate,Duolip,ML-1024,Etofylline Clofibrate. INN(Etofylline Clofibrate),USAN. 
|