网站首页  词典首页


请输入您要查询的字词:

 

字词 皮革喷涂棕RG
类别 中英文字词句释义及详细解析
释义 皮革喷涂棕RG

【国外相应商品名】

Eukesolar Brown R,RG(BASF)

Vialon Fast Brown R(BASF)

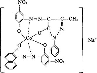
【结构式】

【产品质量标准】 企业标准(参照德国巴斯夫公司产品)。

外观: 黄褐色溶液

色光: 与标准品近似

应用性能: 与标准品近似

牢度: 与标准品近似

强度: 为标准品100±±3

注:以BASF Eukesolar Brown RG为标准,强度100分。

【功能与特点】 能溶于酮、醇、酯及醇醚类有机溶剂中。产品为易燃和易挥发液体,具有酒的气味。能与丙烯酸树脂、硝化纤维清漆、聚氨酯树脂相混。色调鲜艳,匀染性较好,耐干、湿擦,色牢度优良。

【用途和用法】 主要用于猪、牛、羊皮等天然革的喷涂或帘幕涂饰,特别适用于苯胺革的喷涂。

【使用注意事项】 存放和使用时严防与明火接触。如遇染料液混浊,乃系染液过饱和,染料析出之故,应将染料液静置,澄清过滤后使用。过滤出来的固体染料可用酒精或乙二醇乙醚溶解后使用。使用时应加入渗透剂,以防喷涂后产生浮色。

【包装贮存】 塑料桶包装。

【主要生产厂家】 山东省青岛染料厂,四川省重庆永顺化工厂。

随便看

 

离鸟网收录3541549条中英文词条,其功能与新华字典、现代汉语词典、牛津高阶英汉词典等各类中英文词典类似,基本涵盖了全部常用中英文字词句的读音、释义及用法,是语言学习和写作的有利工具。

 

Copyright © 2004-2024 vtrois.com All Rights Reserved
更新时间:2026/4/19 9:07:40