网站首页  词典首页


请输入您要查询的字词:

 

字词 皮克公式
类别 中英文字词句释义及详细解析
释义 皮克公式

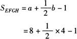
S=a+1/2b-1.

其中a表示多边形内部的点数,b表示多边形边界上的点数,S表示多边形的面积.

注意 1.皮克是奥地利数学家.

2.皮克公式是用来计算点阵多边形面积的公式.

例 将矩形ABCD分成15个大小相等的正方形,E、F、G、H分别在AD、AB、BC,CD边上,且是某个小正方形的顶点,若四边形EFGH的面积为1,则矩形ABCD的面积是( ).

A.2

答 D.

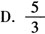
[解析] 设每个正方形的面积为1个单位面积,则矩形ABCD的面积为15个单位面积.

由皮克公式得

=9(单位面积).

随便看

 

离鸟网收录3541549条中英文词条,其功能与新华字典、现代汉语词典、牛津高阶英汉词典等各类中英文词典类似,基本涵盖了全部常用中英文字词句的读音、释义及用法,是语言学习和写作的有利工具。

 

Copyright © 2004-2024 vtrois.com All Rights Reserved
更新时间:2026/4/20 10:46:48