百步还阳丹
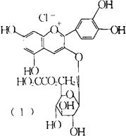
【概况】: 基源 为兰科兜被兰属植物二叶兜被兰的全草。 兜被兰属全世界约6种,中国有4种。 原植物 二叶兜被兰Neottianthe cucullata(L.)Schltr.(Gymnadenia cucullata L.C.Rich.) 形态 陆生兰。高9~21cm。块茎近球形或阔椭圆形,长约1cm。 茎纤细,直立,基部具2叶。叶卵形,披针形或狭椭圆形,先端急尖或渐尖。总状花序具几朵至20朵花,花常偏向一侧,紫红色;花苞片披针形;萼片和花瓣靠合成长6~7mm,宽3~4mm的兜,萼片披针形;花瓣长约6mm,宽约0.5mm,条形,顶端钝,萼片,花瓣均具1脉;唇瓣基部全缘,前部3裂,上面及边缘具乳突,裂片条形,中裂片长约5mm,宽约0.7mm,侧裂片较宽而长;距较细长,向前弯曲;子房纺锤形,无毛。(图见《中国高等植物图鉴》.第5册.630.图8089) 生境与分布 生于林下、林缘。 分布于东北、华北、西南及安徽、河南、陕西、新疆、原苏联,朝鲜,日本也有分布。 。【生药】: 采集 夏、秋季采挖带根全草,晒干或鲜用。 贮藏 晒干用者置通风干燥处。 【化学】: 花中含矢车菊素3-O-β-(6″-O-草酰)葡萄糖甙[Cyanidin 3-O-β-(6″-O-oxalyl)glucoside][1]。  参考文献 ZNaturforsch C:Biosci 1986;41(7~8)∶707 【药性】: 性味 甘,平。 功效 强心兴奋,活血散瘀,接骨生肌。 主治 外伤性昏迷,跌打损伤,骨折。 用法用量 内服:研末,1.5~3g,温开水冲服。外用:研末调敷或捣敷。 |