网站首页  词典首页


请输入您要查询的字词:

 

字词 百两金叶
类别 中英文字词句释义及详细解析
释义 百两金叶

【名称出处】:《福建中草药》

【概况】:

基源 为紫金牛科紫金牛属植物百两金的叶。

原植物 百两金Ardisia crispa(Thunb.)A.DC.(Bladhia crispa Thunb.;Ardisia hortorum Maxim.ex Regel;Ardisia henryi Hemsl.),又名开喉箭、八爪金龙(《中国高等植物图鉴》)。

余项参见“百两金”条。

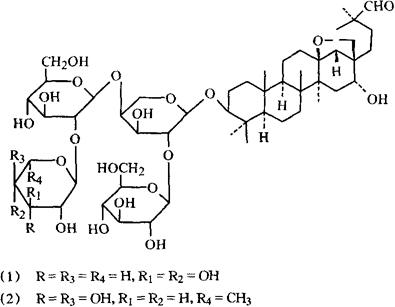
【化学】:

含有两个三萜皂甙,即百两金叶素A(Ardisia crispin) A(1)和百两金叶素B(Ardisiacrispin B)(2),这两种成分具有子宫收缩活性。

参考文献 Planta Med 1987;53(5):405

【药性】:

性味 苦、辛,平。

功效 清热解毒,散瘀止痛。

主治 疖肿,跌打损伤。

《分类草药性》:“包损伤,涂诸疮,通淋。”

用法用量 外用:捣敷。

随便看

 

离鸟网收录3541549条中英文词条,其功能与新华字典、现代汉语词典、牛津高阶英汉词典等各类中英文词典类似,基本涵盖了全部常用中英文字词句的读音、释义及用法,是语言学习和写作的有利工具。

 

Copyright © 2004-2024 vtrois.com All Rights Reserved
更新时间:2026/4/18 1:33:30