网站首页  词典首页


请输入您要查询的字词:

 

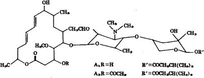
字词 白霉素[中]
类别 中英文字词句释义及详细解析
释义 白霉素[中]

CAS-1392-21-8

由Streptonyccs kitasatoensis发酵产生的混合物。

Antibiotic produced by Streptomyces kitasatoensis.

北里霉素。

Kitasamycin.

柱晶白霉素。

Leucomycin.

抗生素类药。用于抗青霉素的葡萄球菌感染及链球菌、肺炎球菌的感染。

吉他霉素。

Kitasamycin,Stereomycine.

白霉素片,注射用柱晶白霉素(注射用酒石酸柱晶白霉素)。

INN,DCF,JP,USAN,MI.

随便看

 

离鸟网收录3541549条中英文词条,其功能与新华字典、现代汉语词典、牛津高阶英汉词典等各类中英文词典类似,基本涵盖了全部常用中英文字词句的读音、释义及用法,是语言学习和写作的有利工具。

 

Copyright © 2004-2024 vtrois.com All Rights Reserved
更新时间:2026/4/17 15:40:13