网站首页  词典首页


请输入您要查询的字词:

 

字词 白水中绝干固形物含量的计算实例
类别 中英文字词句释义及详细解析
释义 白水中绝干固形物含量的计算实例

【例】 某造纸车间的纸料制备工段,每天使用的原材物料如下:纸浆248t(水分8%),高岭土31t(水分7%),淀粉2.4t(水分15%),松香胶1.1t(水分50%),矾土2.1t(绝干),水4000m3(其中包括纸浆和辅料中的水量)。该造纸机生产的纸张定量为62g/m2,成纸水分7%,车速1200m/min,抄宽2.5m,湿纸页进入干燥部的水分含量为58%,损失的水全部排出。假设废水中所有物料有相同的保留率,且每立方米废水重1t,试计算废水中总的绝干固形物的百分含量。

解:
❶ 进入湿部的绝干物料量G的计算

纸浆=248×92%=228.16(t/d)

高岭土=31×93%=28.83(t/d)

矾土=2.1(t/d)

淀粉=2.4×85%=2.04(t/d)

松香胶=1.1×50%=0.55(t/d)

∴G=228.16+28.83+2.1+2.04+0.55

=261.68(t/d)

❷ 造纸机日产量G2的计算

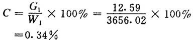
排出废水量为

❹ 废水中绝干固形物含量:

随便看

 

离鸟网收录3541549条中英文词条,其功能与新华字典、现代汉语词典、牛津高阶英汉词典等各类中英文词典类似,基本涵盖了全部常用中英文字词句的读音、释义及用法,是语言学习和写作的有利工具。

 

Copyright © 2004-2024 vtrois.com All Rights Reserved
更新时间:2026/4/19 6:41:40