网站首页  词典首页


请输入您要查询的字词:

 

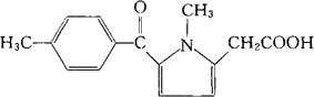
字词 痛灭定
类别 中英文字词句释义及详细解析
释义 痛灭定

C15H15NO3=257.29

CAS-26171-23-3

1-甲基-5-(4-甲基-苯甲酰)-1H-吡咯-2-乙酸。

1-Methyl-5-(4-methylbenzoyl)-1H-pyrrole-2-acetic acid.

消炎镇痛药。用于类风湿性关节炎。

托美汀。

Tolmetin.

INN,BAN,DCF,DCIT,NFN,USAN,MI.

随便看

 

离鸟网收录3541549条中英文词条,其功能与新华字典、现代汉语词典、牛津高阶英汉词典等各类中英文词典类似,基本涵盖了全部常用中英文字词句的读音、释义及用法,是语言学习和写作的有利工具。

 

Copyright © 2004-2024 vtrois.com All Rights Reserved
更新时间:2026/4/18 10:04:48