网站首页  词典首页


请输入您要查询的字词:

 

字词 留春令
类别 中英文字词句释义及详细解析
释义 留春令

词牌名。

见晏几道词。双调小令,共4体,正体50字,上阕5句两仄韵,下阕4句3仄韵。

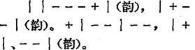
李之仪,黄庭坚等另有3体。以晏几道《留春令·画屏天畔》为例,正体词谱如下:

随便看

 

离鸟网收录3541549条中英文词条,其功能与新华字典、现代汉语词典、牛津高阶英汉词典等各类中英文词典类似,基本涵盖了全部常用中英文字词句的读音、释义及用法,是语言学习和写作的有利工具。

 

Copyright © 2004-2024 vtrois.com All Rights Reserved
更新时间:2026/4/20 4:03:30