网站首页  词典首页


请输入您要查询的字词:

 

字词 界面张力
类别 中英文字词句释义及详细解析
释义 界面张力

物质的相与相间的分界面即为界面,它可以是单分子层或几个分子层厚。

物质一般有气、液、固三态,相应有气、液、固三相,可以组合成气-液,液-液,气-固,液-固及固-固五种界面类型,习惯上把有气相组成的界面称为表面。由于界面上存在著界面张力,表面压力,界面粘度和界面电场力等一些特殊的作用力,因此在界面上会产生各种特有的现象。

在多相体系中,界面上的物理化学过程往往起著决定作用,因而对界面现象的认识和研究具有重要意义,在众多的界面现象中均涉及到界面张力,它是最基本的也是最重要的热力学性质之一,由此出发,根据热力学推导,可以得到下述3个界面化学中重要的基本公式:(1)描述作用于气-液-固系统的三相交界线上的3种界面张力之间关系的Young公式(1805年由T.Young首先提出);(2)描述界面曲率与界面张力之间关系的Laplace公式(1806年由P.S.de Laplace导出);(3)描述溶液的表面张力与溶液浓度及表面吸附量之间关系的Gibbs吸附等温公式(1876年由W.Gibbs提出)。W.Thomson于1871年从Laplace方程出发导出了描述界面曲率与液体饱和蒸汽压之间关系的Kelvin公式,而Laplace公式又为界面张力的实验测定提供了理论依据。

界面张力精确测定,特别是当前3次采油化学的进展要求对超低界面张力的精确测定,一直是本研究领域的热门课题之一。常见的界面张力测定方法见表1、表2。

表1 气-液和液-液界面张力测定方法

界面张力研究的另一项主要内容是通过混合物中各纯组份的物性及组成来预测界面张力。由于对固体表面特性的研究还很不充分,同时,也缺乏精确,可靠的实验手段来直接测定固体的表面张力,因此,迄今为止,对界面张力的理论预测仅限于气-液和液-液相界面。

表3所列为常用的预测液体混合物表面张力及液体混合物相间界面张力的方法。

表3 常用预测溶液表面和界面张力方法

就气-液表面张力的关联和预测而言,对二元混合物已能提出在精度上和普遍性上都非常满意的方程,对三元及三元以上的混合物,也可通过各二元系的实验数据来关联和预测。但对于组份间极性差异较大的多元系及含水体系的表面张力预测,目前尚无满意的结果,其关键仍在于界面相的非理想性的影响及分子的取向,这是今后有待进一步解决的问题。

与气-液表面张力的计算相比,液-液界面张力的计算要复杂得多,各组份的分子结构和分子间复杂的相互作用所造成的分子在界面上的取向和溶质分子在界面上的吸附成为影响界面张力的主要因素,由于目前溶液理论还很不完整,对各种溶液的处理带有很大局限性,因此,对液一液界面张力的预测大多限于二元系,并能得到较满意的结果,但对三元系则限于半经验的关联,并且预测精度不高,尚需建立更好的预测方法或精度更高的普遍化方程,其关键仍在于考虑分子在界面上的取向及分子结构和分子间相互影响。

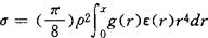
界面张力理论计算的统计热力学方法是界面张力研究领域中又一个十分活跃的课题。对球形简单分子,1949年J.G.Kirkwood和F.P.Buff提出表面张力计算公式:

现在在界面张力的处理上已取得相当的理论进展,可采用平均密度来代替难以得到的径向分布函数g(r)。

由于分子间势ε′(r)和径向分布函数g(r)的局限性,上述方程只能用于非常简单的体系,对于比较复杂的体系,必需进行适当的简化处理,即使这样,得到的方程对于计算实际体系的表(界)面张力仍显复杂。因此,统计热力学方法虽具有比较严格的理论基础,但到目前为止,还远远没有进入实用阶段。

可以预见,随著溶液理论的发展和完善,界面张力的理论计算必将建立在统计热力学的严格理论基础之上。

【参考文献】:

1 Wu Souheng.Polymer Interface and Adhesion,New York:Marcel Dekker,Inc.1982

2 王子镐,傅举孚.化工学报,1986,41(2)∶248

3 Reid R C,Prausnitz J M,Sherwood T K.The Properties of Gases and Liquids.3rd,New York:McGran Hill,1988

4 Li Buqiang,Fu Jufu.Chem.Eng.Sci.,1989,44(7)∶1519~1527

5 Backes H M,et al.Chem.Eng.Sci.,1990,45(1)∶275~286

(上海科学技术大学朱宪副教授撰)

随便看

 

离鸟网收录3541549条中英文词条,其功能与新华字典、现代汉语词典、牛津高阶英汉词典等各类中英文词典类似,基本涵盖了全部常用中英文字词句的读音、释义及用法,是语言学习和写作的有利工具。

 

Copyright © 2004-2024 vtrois.com All Rights Reserved
更新时间:2026/4/18 10:20:46