网站首页  词典首页


请输入您要查询的字词:

 

字词 电路中的功率损失
类别 中英文字词句释义及详细解析
释义 电路中的功率损失

1.如何计算线路中的功率损失?

假设从甲地把功率为P的电能送往乙地,两地之间线路电阻为R,输送电压为U,要计算其线路的功率损耗(不考虑电抗影响),要注意如下几点:

(1)线路电流不能用来计算:I=中的U是指是电阻R两端的U,而这里的U是输送电压,是加在整个线路(线路和线路中的用电器)上的,因此使来计算电流是错误的.

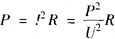
(2)线路功率损耗是电流流经线路电阻的热损耗,在计算热损耗时,应使用焦耳定律:P=I2R,不能使用(这与第一条犯了同样的错误).

(3)正确的计算方法如下:

首先求出线路中的电流I,利用P=UI可求:

然后再用焦耳定律:

2.如何减少电路中的功率和电压损失?

从线路电阻来看:(1)增大导线的横截面积,选用电阻率小的导体材料,以减少线路电阻;(2)在功率一定的情况下,增大输送电压,减少输送电流,从这两者来看,以高压输送效果明显,因为,损失的功率与电压的平方成反比.

从线路的电抗来看:增大导线横截面积对减少电抗不起多大作用,效果不佳,因此在输送功率不变的前提下,必须减小输电电流,提高输送电压.

因此无论从减小输电中的功率损失,还是从减小电压损失方面看,都要求提高输电电压,减小输电电流.

但也不是说输电电压越高越好,电压越高,对输电线路绝缘的要求越高,线路修建费用,变压器的制造、结构等要求都要提高,实际输送电能时,要全面综合考虑,根据输送功率的大小,距离的远近、技术和经济要求等合理选择输送电压.

例 输送4.0×106W的电能,若发电机输出电压为2000V,选用变压器升压后应用截面积为4.25cm2的铜导线,把电能送到400km远处,线路损失的功率为5.0×105W.求:

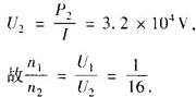
(1)应选用匝数比为多少的升压变压器?

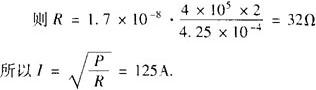
(2)若已知铜的电阻率ρ=1.7×10—8Ω·m,在用电区使用降压变压器,其原线圈两端的电压多大?

分析 求升压变压器匝数比,必须求出该变压器副线圈两端的电压,因变压器均为理想变压器,即上述副线圈输送给线路的功率仍是4.0×106W,关键是求出送电线路中电流,问题就迎刃而解了.

解 (1)由,式中P为线路损失功率,已知R为线路中总电阻,两条导线总电阻

所以P=P,所以在升压变压器副线圈两端电压:

(2)设U′2为降压变压器原线圈两端电压:

U′2=U2—IR=2.8×104V.

随便看

 

离鸟网收录3541549条中英文词条,其功能与新华字典、现代汉语词典、牛津高阶英汉词典等各类中英文词典类似,基本涵盖了全部常用中英文字词句的读音、释义及用法,是语言学习和写作的有利工具。

 

Copyright © 2004-2024 vtrois.com All Rights Reserved
更新时间:2026/4/17 17:15:07