网站首页  词典首页


请输入您要查询的字词:

 

字词 电液位置控制系统
类别 中英文字词句释义及详细解析
释义 电液位置控制系统

位置控制系统是最常见的控制系统,如机床的工作台位置控制、导弹的姿态控制等。位置控制的特点是系统输出的位置同系统的输入量之间始终保持一定的比例关系。

(1)电液位置控制系统组成和方块图

图34.1-1所示的双电位器系统是一个典型的位置系统。对于要求负载作旋转的被控对象可以直接由液压马达作执行元件通过减速器驱动负载,且通过角度同步变压器作为角差测量装置,电液位置系统的原理如图34.2-1所示。角度同步变压器检测输入轴转角θi与输出轴转角θc之间角度,得到误差角△θ=θi-θc,误差角△θ转换为误差电压e。误差电压e是交流信号,经过交流放大与解调成为直流信号,直流信号经过功率放大产生一个电流推动电液伺服阀的力矩马达,从而控制伺服阀输出流量与压力,推动液压马达拖动负载运动。

无论阀控缸还是阀控马达控制系统,分析方法是相同的。我们以图34.2-1所示阀控马达系统为例进行讨论。

角度同步变压器机可以看作为比例环节,这个环节的传递函数为

(2)性能分析

A.稳定性分析

控制系统最重要的特性就是稳定性,若系统是稳定的,即使其他性能差一些也可以工作,反之就不可能工作。系统的动态分析以稳定性为中心。液压系统分析中最常用的是频率法。

在图34.2-2中,一般说来,液压马达负载的液压固有频率是位置控制系统中的最低转折频率,其它转折频率均高于ωh,所以电液伺服阀可看成是一个比例环节,将系统的方块图简化成图34.2-3。

系统的开环传递函数为

系统的稳定性可以用劳斯-霍尔维茨判据来判定。对于单位反馈时,系统的闭环传递函数为

根据(34.2-12)式绘制位置控制系统的闭环频率响应曲线,并把开环频率特性也放在曲线上,如图34.2-8所示。由图可见,闭环幅频特性幅值下降至-3分贝时的频率近似于闭环惯性环节转折频率ωb。所以此转折频率时系统近似于稳定。又因为开环幅值特性的穿越频率ωc≈Kv,所以ωc≈ωb。可将开环的穿越频率近似看作系统频宽。

C.系统的精度分析

(A)静态误差 系统的精度用它的误差大小来表示。系统的总误差包括动态滞后误差和静态误差。动态滞后是由于输入信号为正弦信号时,其中含有速度、加速度分量所产生的滞后形式的误差。在我们所讨论的系统中将不考虑动态滞后误差,主要分析静态误差。静态误差产生的原因很多,结构本身就和误差有关。对于图示的位置控制系统,对输入信号来说,系统的结构是Ⅰ型,Ⅰ型系统没有位置误差而只有速度误差。速度误差等于输入速度Vi被开环放大系数除,即

校正后系统的开环传递函数为

速度反馈元件采用测速发电机,其传递函数为Kfvs,它把液压马达转速转化为电压。在信号Kfvn后接一微分电路,将把液压马达加速度转换成电压,组成了加速度反馈元件,其传递函数为Kfas2将速度信号和加速度信号合并后与信号电压eg相比,构成速度和加速度反馈。

反馈校正回路的闭环传递函数为

当只有加速度反馈时,Kv、ωh不变而阻尼比ζh提高,提高了稳定性。加速度反馈的实质是把输出位移变化率超前反馈,以阻止输出量的变化而形成阻尼。提高了系统等速输入时的平稳性。

将速度反馈和加速度反馈联合,适当选取K1、K2就可使阻尼系数增大,而压低谐振峰,加入速度,加速度反馈校正后,设系统的开环增益、谐振频率、阻尼比

分别为时,则

(3)机液控制系统

机液控制系统没有任何电子元件,具有结构简单,工作可靠,易维护的优点,广泛应用于飞机助力操纵系统、汽车拖拉机液压转向以及机床的液压仿形刀架。同样也存在明显的缺点:没有电子元件就没有方便调整增益和增加校正环节的器件,凡是机构均有间隙,这些都将影响系统的快速性和精度。

A.机液控制系统的分析与组成

机液控制系统广泛应用在精度和响应要求一般的场合。图34.2-14和图34.2-15所示的是两种机液位置伺服系统。这两种典型装置都是由四通滑阀作液压放大元件,用液压缸作执行元件推动负载。通过输入位移使阀芯开启,油液进入液压缸,活塞运动又反馈回来与输入位移相减,并使阀芯关闭。

图34.2-14的反馈称为外反馈。通过杠杆综合输入和反馈,当杠杆位移量较小时,阀芯开口量可由图中连杆运动的三角关系求出

机液控制系统的反馈连接是多种多样的,可以由凸轮、连杆、齿轮等构成,可以是直线或是回转运动,不管何种反馈连接,输入、输出和阀芯的位置的关系均可用下式表示

xv=Kixi-Kfy (34.2-31)

式中 Ki、Kf——表示输入与反馈的放大系数。

一般来说,当反馈机构是非线性,例如使用凸轮反馈机构时,为分析方便起见,式(34.2-31)应采用线性化后的表达式。

以图34.2-14为例进行分析,只考虑惯性负载时的情况。阀控缸传递函数为

系统的开环传递函数为

根据层流流动计算公式,△p为

或压缩以补偿此压力差,输出量滞后于输入量。

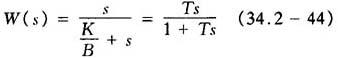
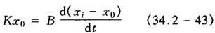
在略去活塞的质量时,列出活塞液压平衡方程

阻尼器的阻尼系数为B,略去质量影响,力平衡方程为

传递函数为

式中 T——时间常数,T=B/K。

随便看

 

离鸟网收录3541549条中英文词条,其功能与新华字典、现代汉语词典、牛津高阶英汉词典等各类中英文词典类似,基本涵盖了全部常用中英文字词句的读音、释义及用法,是语言学习和写作的有利工具。

 

Copyright © 2004-2024 vtrois.com All Rights Reserved
更新时间:2026/4/18 16:02:51