网站首页  词典首页


请输入您要查询的字词:

 

字词 电液传动系统设计简述
类别 中英文字词句释义及详细解析
释义 电液传动系统设计简述

因为电液传动系统中电路不很复杂,所以本节主要阐述液压传动系统设计的基本内容。

液压传动系统的设计步骤,如图33.2-3所示。核心的内容就是尽可能满足主机或控制对象的性能要求。

(1)明确设计要求,确定液压系统方案

设计液压系统就要了解主机或控制过程所提出的动作性能、工作环境、体积尺寸等诸方面的要求,并与主机设计者协调一致才能确定合理的液压系统方案。

·动作性能包含:

运动的形式:回转或直线运动。

运动的性能:行程、速度或转速范围、位置或速度等的精度、力和力矩要求、各个动作之间的关系、完成各个动作所需功率等;

·工作环境的考虑:室内或室外、海上或高空、工作温度和湿度、粉尘污染状况,是否易燃易爆和易腐蚀、有无噪声要求、连续工作时间等。

·体积尺寸会影响主机的布局和传动方式的选择等。

液压系统设计者在充分掌握了上述基本要求后,选择液压系统的执行元件,可进行初步估算,得出系统所需功率。再确定液压系统大致方案,即选定液压传动的方式,如确定采用容积式还是节流式的调速方法等。由运动形式来选择液压执行元件时,可参考表33.2-1。

表33.2-1 执行元件的选择

B.负载运动分析及运动循环图

负载运动的工作循环就是液压缸或液压马达的运动状况,液压缸(液压马达)的位移、速度与时间的关系,也就是运动循环图。

(A)位移循环图(L-t图)

图33.2-5为一液压缸的典型的位移循环图,其纵坐标L表示液压缸活塞的位移,横坐标t表示时间。很明显,此图中每段曲线的斜率就是活塞的运动速度。

(B)速度循环图(v-t图)

有位移循环图(L-t图)就很容易绘出速度循环图(v-t图)。这就是确定液压缸所需流量的依据。其中速度最高的阶段,一般说来也就是该液压缸需要流量最大的时候。

(C)典型的负载轨迹

在液压系统中压力和流量是相关联的,而且二者乘积就是功率。对控制液压执行元件的阀(或变量泵)就存在著负载力(力矩)和负载速度(转速)与其输出的压力和流量相匹配的问题。如用p-q阀控制液压执行元件时,尤其在液压控制系统里,其负载力(力矩)和负载速度(转速)的关系应首先进行研究。所谓负载轨迹,就是以负载力(力矩)为横坐标,以速度(转速)为纵坐标绘制的曲线。

众所周知,负载的运动情况很复杂,典型的办法就是认为负载做简谐正弦运动。现以液压缸为例,若x表示负载的位移,则有

x=asinωt (33.2-21)

所以,负载的运动速度为

v=dx/dt=aω cosωt (33.2-22)

负载力按前面分类可分别计算如下:

惯性负载力F1

弹性负载Fsp 当仅有弹性负载时

Fsp=kspasinωt (33.2-25)

联立(33.2-22)和(33.2-25),可得

粘性阻尼力Fb 假如仅有粘性阻尼力Fb,则

Fh=bv=baωcosωt (33.2-27)

其负载轨迹显然为一直线,如图33.2-8所示。

静摩擦力Fsf 静摩擦力Fsf的数学描述为

动摩擦力Fdf 动摩擦力Fdf的数学描述为

总负载力的负载轨迹 实际液压缸的负荷是其所受各种负载力之和,总的负载轨迹可由上述单纯负载力合成而得到。例如,由惯性负载、粘性阻尼负载和弹性负载组成总负载F时,就有

F=mv+bv+kspx

=(ksp-mω2)asinωt+Bωacosωt (33.2-30)

联立(33.2-22)和(33.2-30),可得到一斜椭圆方程如(33.2-31)式所示。由此方程可得到图33.2-11所示的合成负载的负载轨迹。

(D)确定液压执行元主要参数

液压执行元件的主要参数是指其几何尺寸参数和工作参数。几何尺寸参数也可称为容量参数,对液压缸来说,就是液压缸活塞(或柱塞)工作面积A。对非对称液压缸应包括活塞两端面积,即A1和A2。对液压马达则是其排量V。工作参数主要就是工作压力p和最大流量qmax。其实,这三个参数的确定是反复进行的,往往还要考虑液压系统总体的压力和流量等。不同行业和主机常用的工作压力参见表33.2-2。

表33.2-2 常用工作压力

由工况图可得到系统的最高工作压力,最大流量和最大功率等参数,可作为选择液压元件、原动机或设计非标准元件的依据。而且还可以合理调整参数,使系统工况更合理、经济。如系统含有多个执行元件,应分析各执行元件的N-t图。如果各个执行元件的最大功率点是错开的,说明系统功率在一个工作循环中比较均匀;若执行元件中最大功率点有重合的,说明系统功率在一个工作循环中并不均匀,在条件允许的情况下,应合理调整有关参数,来改善功率的不均匀性。此外,通过分析工况图,可以合理选择液压系统的主要回路。譬如工况图中最大流量和最小流量相差很大,但其相应的时间也相差较大,则系统能源最好采用多泵供油方式,而不宜采用单泵或单泵加蓄能器的方式。

(E)确定控制方案及控制元器件

液压执行元件确定后,若无调速要求时,只需选择规格合适的方向控制阀。如果有调速要求时,则首先应确定采用容积式调速,还是节流式调速或容积节流式,一般说来,压力高、功率较大时,采用容积式调速;压力低、功率较小时,多用节流式调速。

容积式调速中无论是变量泵控制定量马达(或液压缸),还是定量泵控制变量马达,作为液压能源的泵只能驱动单一负载。而节流调速系统中,作为能源的泵可以驱动多个执行元件。在节流调速中,对速度无严格要求的,采用简单经济的节流阀调速;对速度有严格要求的,采用调速阀或溢流节流阀调速。现在采用比例阀作节流调速控制元件的越来越普遍了。如前面提到的,在注塑机液压系统中,用p-q阀调节注射液压缸速度。p-q阀实质就是比例溢流节流阀。

具体调速回路的选择,可以参见第32章基本回路。

调速方案确定后,应选定控制元件。如用变量泵控制定量马达的容积式调速方案,就要选择变量泵的额定压力和最大流量(考虑了机械和容积效率后)。若是节流调速方案,如用p-q阀作控制元件时,就要使p-q阀的压力-流量特性曲线包围液压执行元件的负载轨迹,以保证p-q阀的输出功率足够大(其中当然应考虑液压回路的容积效率和压力损失)。一旦控制元件的参数决定后,就可根据产品样本或手册来选择结构、规格、性能均符合要求的控制元件了。

(3)拟定液压系统原理图

由液压系统工况图和调速回路就可归纳出系统的主要回路图。但是这是不完善的,还必须考虑是否需要增加一些必不可少的辅助回路。如有垂直负荷时,是否需要平衡回路。高速运动的负载,是否需要缓冲和制动回路。存在多个执行元件时,是否有同步、顺序和互不干扰的要求。

此外,要根据系统工况图决定系统能源的构成方案,是用定压能源,还是定量能源。一般较复杂的系统都可能有不止一个能源,如前节所述的混凝土泵液压系统中,主要的泵送系统采用的是变量泵控制液压缸的容积调速系统,而搅拌系统和摆动系统因功率不大,就采用了定压能源。

对可靠性要求特别高或不间断连续工作的系统(如轧机),拟定系统液压回路图时,应考虑采用“多裕度方案”,也就是在系统的关键部位设置一些必要的备用元件或备用回路,以便于在发生故障时,启动这些备用元件或备用回路来保证系统正常工作。

液压总回路中,还必须考虑系统中液压流体的冷却循环、滤清和防止污染等一系列的问题。

绘制出液压系统总回路图后,应检查是否能圆满实现所有的功能,系统效率如何,工作是否安全可靠,调整和维修是否方便,有条件最好请主机设计者和委托方一起审核。发现问题可以进行补充或修改。

(4)选择液压元器件

根据流量和压力这两个主要参数就可选择所需的液压元器件,所以这里仅围绕著这两个参数展开讨论。

(A)液压泵的选择

由系统工况图可得到最高工压力pmax,其值只是满足了负载的需要,并未考虑液压执行元件进口和出口回路上的各种沿程和局部压力损失∑△pi。也就是说,pmax相当于公式(33.2-32)和(33.2-33)中的△p。所以液压泵的出口压力pp应按下式计算,即

一般也可用经验估计∑△pi之值,简单系统取∑△p=0.2~0.5MPa,复杂系统取∑△pi=0.5~1.5MPa。

由系统工况图中的最大流量qmax,可确定液压泵的输出流量qp

qp>Kqmax (33.2-37)

式中 K——考虑系统泄漏的修正系数,一般取K=1.1~1.3,流量大时取小值,流量小时取大值。用溢流阀作定压能源时,需要加上溢流阀的最小溢流量,机床行业常取为2~3L/min。

系统中采用蓄能器时,可按一个工作循环周期T内的平均流量来确定泵的流量

式中 Vi——系统在一个循环内,第i个阶段所需的流体体积。

根据系统工作情况和设计要求确定泵的类型后,就可以由计算出的pp和qp值,从产品样本中选择液压泵的型号和规格了。为安全可靠起见,泵的额定压力可比pp高25%。泵的额定流量比qp略高。因为泵的流量等于其排量Vp和转速np之积,所以在功率重量比要求大的场合(如行走设备,尤其是飞行器上),多选排量小转速高的。

此外,液压泵原动机不仅在功率上,而且在转速范围上都应满足泵正常工作的需要。

(B)各种阀的选择

各种阀的规格和型号按液压系统图和工况图中提供的压力和流量从产品样本中选取。各种阀的额定压力和公称流量一般应与其工作压力和最大通过流量一致,必要时可允许其最大通过流量超过公称流量的20%。对可靠性要求高的系统,阀类元件的额定压力应高于其工作压力。

(C)液压辅助元件的选择

根据液压系统图,可以确定对各种辅助液压元件具体的压力和流量,就可以从产品样本中选定滤油器、蓄能器、冷却器、油箱、液压管路等辅助元件了。选择原则详见有关章节。

(5)液压系统验算

液压元件规格确定后,液压系统图得到完善,就可进行系统压力损失、系统效率、系统发热与温升、液压冲击等的计算了。系统压力损失和液压冲击的计算可见基础篇,这里仅叙述系统效率和系统发热与温升的计算。

(A)系统效率计算

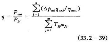
液压系统的总效率η定义为液压系统输出和输入功率之比,即

式中 △pmi,qmoj,ηmmi——一个执行元件的工作压力,输出流量和机械效率;

Tpj,ωpj——一个液压泵的输入转矩和转速;

——同时动作的执行元件的输出功率;

——同期运转的液压泵的输入功率之和。

在不同工作阶段同时工作的执行元件可能不相同,应分别计算其效率,取其中最小者作为系统的效率。将来系统调试时再验证其效率。

(B)系统发热和温升计算

液压系统的压力损失、流量泄漏和机械损失基本上都转换成热量,从而使系统液压流体的温度升高,产生一系列的不良影响。

前面已算出系统的总效率η,则系统平均总发热量Q可估算如下

Q=Ppi(1-η) (33.2-40)

式中 Ppi——液压系统的总输入功率。

系统在未设置冷却系统,主要的散热元件又是油箱时,在热平衡状态下油液所达到的温度θ(℃)为

θ=θ0+[Q/(Ak)] (33.2-41)

式中 θ0——环境温度(℃);

A——油箱散热面积(m2);

k——散热系数(kW/(m2℃)),其值见表33.2-3。

表33.2-3 油箱散热系数

当油箱长、宽、高的比例在1∶1∶1到1∶2∶3范围内且液面高度为油箱高的80%时,散热面积A(m2)可由油箱体积V(L)按下式估算:

按(33.2-41)式计算出的油温θ如果超过表33.2-4中规定的最高温度,系统就须考虑设置冷却系统。

表33.2-4 一些液压系统规定的油温允许值(℃)

(6)绘制工作图,编制技术文件

在液压系统图的基础上,应根据主、客观情况确定液压元件的安装和连接方式。首先要决定采用集中式或是分散式配置。前者是将液压系统的能源、调节控制装置集中安装在主机之外,构成所谓的液压站,常用于固定的设备中,后者则是将液压系统的能源、控制装置按主机布局分散安装,多用于移动设备中。

液压元件之间连接方式有板式和管式两大类。一般液压执行元件因分散安装在主机不同部位,同前面的控制元件多用管式连接。而在能源和控制元件,(尤其采用集中式配置时),现在多用板式连接。板式连接中,集中式配置时,常用的是集成块和叠加阀。所以,绘制液压装置配置图,以至绘制集成块图都是液压系统设计人员的工作。这些图当然也都是必不可少的技术文件。

总之,工作图应包括液压系统图、液压装置的装配图、配管图、非标液压元件的整套设计图。

应编制的技术文件,一般包括:设计任务书、设计计算书、使用和维护说明书以及标准件、通用件和易损件总表等。

随便看

 

离鸟网收录3541549条中英文词条,其功能与新华字典、现代汉语词典、牛津高阶英汉词典等各类中英文词典类似,基本涵盖了全部常用中英文字词句的读音、释义及用法,是语言学习和写作的有利工具。

 

Copyright © 2004-2024 vtrois.com All Rights Reserved
更新时间:2026/4/19 15:08:09