网站首页  词典首页


请输入您要查询的字词:

 

字词 电测应力分析技术
类别 中英文字词句释义及详细解析
释义 电测应力分析技术

电测应力分析的基本原理是,将一种特制的电阻应变片作为传感元件,粘贴在被测试的构件上。当构件受外载荷作用产生变形时,测试点的应变使与它粘贴在一起的电阻应变片随之伸长或缩短而产生电阻值变化。在一定的变形范围内,电阻应变片的电阻改变量与构件在粘贴方向的应变值成比例。这样,用电桥测出电阻应变片的电阻改变量,即可推算出构件在该测试点处沿应变片粘贴方向的应变值,进而求出应力值。电阻应变片具有尺寸小、质量轻、测量精度高、易于自动显示和记录测试结果等特点,可用于静态和动态加载的模型或实物上测试,也能在高低温、核辐射、强磁场和腐蚀性环境下实施远距离遥测自动记录。但是电测应力分析是一种逐点测量技术,一般只能测出构件表面在电阻应变片基长内的平均值。若要测出构件大范围内的应力分布情况,则工作量过于繁重。

4.1.1 电阻应变片

电阻应变片一般由敏感栅、基底、覆盖层和引出线组成。敏感栅用粘结剂粘在基底和覆盖层之间。电阻应变片的性能主要与敏感栅材料和粘结剂有关。图1.3-44所示是丝绕式应变片典型结构。常用的电阻应变片有丝式和箔式两种,其种类、结构和特点见表1.3-45。有的电阻应变片用两个以上敏感栅组成的应变花制成,在一个测试点可以同时测得多个方向应变以确定该点的应力状态,如图1.3- 45所示。此外,还有一些特殊用途的应变花,如大变形应变片、监视裂纹扩展的裂纹应变片、测量残余应力和应力集中的应变片等。

1-覆盖层;2-基底;3-引出线;4-敏感栅

表1.3-45 常用电阻应变片的结构和特点

电阻应变片的工作特性主要有:

❶ 电阻应变片的电阻值(通常指室温下的测量值)。

❼ 灵敏系数。应变片的电阻变化率与其敏感栅纵向应变值ε之比值,称为该应变片的灵敏系数K,即

4.1.3 测量电桥

电阻应变仪通过测量电桥,将测试点应变片产生的极小电阻变化率转换成电压变化,然后经放大器放大。根据桥压电源的不同,测量电桥分为直流电桥和交流电桥两种。

(1)直流电桥

直流电桥如图1.3-47所示。R1、R2、R3、R4为桥臂电阻。A、C两端接电源,其直流电压为E。B、D两端为电桥的输出端,接电阻应变仪的放大器输入端,Rg为放大器的输入内阻。在应变测量中,电桥通常采用全桥接法(四个桥臂均由应变片构成)和半桥接法(相邻两个桥臂采用应变片,另外两个桥臂采用精密电阻)两种。

对于高输入内阻的放大器,即Rg》桥臂电阻时,电桥输出端可近似开路。此时电桥输出端的输出电压△U为:

为保证测量精度,在测试前应先将电桥调平衡,即使△U=0,其桥臂电阻必须满足;

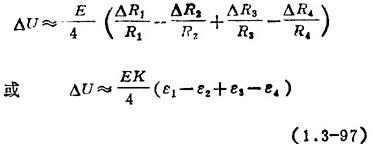
采用全桥接法时,四桥臂的应变片R1、R2、R3R4由于应变ε1、ε2、ε3、ε4而产生电阻变化量△R1、△R2、△R3、△R4。因为电阻变化量非常小,可以略去非线性误差,故电桥输出电压可用下列线性关系式表示:

式中 K为应变片的灵敏系数。

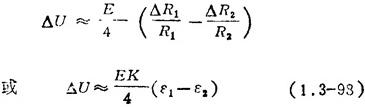
采用半桥接法时,R1和R2为应变片,而R3和R4为精密电阻,此时△R3=△R4=0,电桥输出电压的近似表达式为:

实际测量时,环境温度变化使构件产生非应力的温度应变,会引起应变片的电阻值改变,因此还需用桥路补偿法予以消除影响。其方法是,在桥臂AB接工作应变片R1,而在桥臂BC接温度补偿应变片R2。温度补偿应变片采用与工作应变片相同规格的应变片,即R2=R1,粘贴在与构件材料相同和环境温度变化相同,但没有载荷的物块上,测试时,工作应变片的电阻变化量为:

△R1=△Re+△Rt

式中 △Re是由载荷引起的电阻改变量;△R1是温度变化引起的电阻改变量。

温度补偿应变片仅受温度变化影响,其电阻改变量为: △R2=△Rt

采用半桥接法时,电桥输出电压为

式中 R=R=R2,为应变片电阻值。

(2)交流电桥

交流电桥采用交流电源。由于电阻应变片在交流回路中表现为阻抗和容抗,因此交流电桥的平衡,不仅要满足一定的电抗幅值关系,还要满足一定的相位角关系。使用交流电桥时,电阻应变仪应该有电阻平衡和电容平衡调整装置。在测试工作开始前,实现初始电阻和电容平衡后,桥臂应变片由于应变而产生电阻改变时,其容抗不再随之变化。因此,交流电桥输出公式可以采川直流电桥公式,用电阻R进行计算。

4.1.4 应力测量技术

电测应变测量技术,有静态测量、动态测量、单点或多点测量以及无线电遥测等多种。其测试步骤一般为:1.选择电阻应变片,制定贴片和接桥方案;2.选择电阻应变仪和记录器,进行认真的性能检查;3.粘贴并防护应变片,焊接并固定引出导线与电阻应变仪桥路的连接;4.正式测量;5.测试结果数据处理。在整个工作中,要时刻注意防止或减少测量误差。例如,采用温度补偿,防止及修正长导线影响,对不同灵敏系数应变片修正,避免同一桥路使用不同电阻值的应变片,克服和修正应变仪读数的零漂移等。

为了确定板、壳、块体结构表面平面应力场的主应力大小及方向,通常采用应变花测量。常用应变花结构及其算式见表1.3-47。

表1.3-47 应变花计算公式

杆件应力的测量见表1.3-48。表中列出圆杆受轴向力、弯曲力矩和扭转力矩作用时,测定其中一种载荷采用的应变片贴片方案、桥路接法和载荷计算公式。

表1.3-48 圆杆应力测量的贴片及接桥

随便看

 

离鸟网收录3541549条中英文词条,其功能与新华字典、现代汉语词典、牛津高阶英汉词典等各类中英文词典类似,基本涵盖了全部常用中英文字词句的读音、释义及用法,是语言学习和写作的有利工具。

 

Copyright © 2004-2024 vtrois.com All Rights Reserved
更新时间:2026/4/19 14:20:20