电容式水分计的测量计算
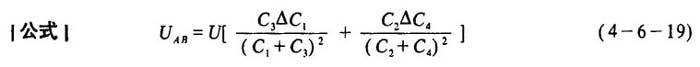
[说明]如图4-6-2所示是美国的杭那维尔公司生产的“阿克瓦索特”型水分计的线路图。由电容器C1、C2、C3和C4组成的不平衡电桥,由高频振荡器供电。电容器C1和C4是测量电容器,它们的电容值取决于纸页水分。当桥路平衡时: C1C4=C2C3 在工作过程中,电容值C1和C4是由于被测纸页水分的变化而变化,并且桥路是不平衡的。这时,在测量桥路的对角线中所产生的不平衡电压计算如下。  式中 U4B——桥路的对角线中所产生的电压(V) U——桥路的电源电压(V) △C1、△C4——变速器电容C1和C4的变化量 [讨论]当C1=C4=C0,C2=C3=C时,在测量桥路的对角线中的电压为:  式中符号含义及单位同上 |