网站首页  词典首页


请输入您要查询的字词:

 

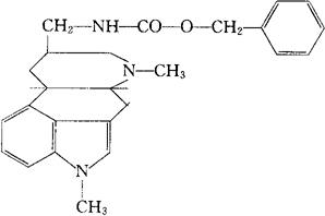
字词 甲麦角林[中]
类别 中英文字词句释义及详细解析
释义 甲麦角林[中]

C25H29N3O2=403.52

CAS-17692-51-2

(±)-N-(羧基)-1-甲基-9,10-二氢麦角胺苄酯。

(±)-N(Carboxy)-1-methyl-9,10-dihydrolysergamine benzyl ester.

[[(8β)-1,6-二甲基麦角灵-8-基]甲基]氨基甲酸苯甲基酯。

[[(8β)-1,6-Dimethylergolin-8-yl]methyl]carbamicacid phenylmethyl ester.

5-羟色胺拮抗药,镇痛药,解热药。

Metergoline,FI 6337,MCE,Methergoline,Almi

gran,Liserdol.

INN,BAN,DCF,DCIT,USAN,MI.

随便看

 

离鸟网收录3541549条中英文词条,其功能与新华字典、现代汉语词典、牛津高阶英汉词典等各类中英文词典类似,基本涵盖了全部常用中英文字词句的读音、释义及用法,是语言学习和写作的有利工具。

 

Copyright © 2004-2024 vtrois.com All Rights Reserved
更新时间:2026/4/19 2:00:55