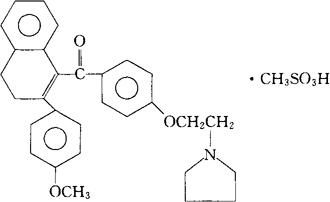
甲磺酸曲沃昔芬
C30H31NO3·CH4O3S=549.67 CAS-68307-81-3 CAS-63619-84-1(trioxifene) [3,4-二氢-2-(4-甲氧苯基)-1-萘基][4-[2-(1-吡咯烷基)乙氧]苯基]-亚甲酮,甲烷磺酸盐。 Methanone,[3,4-dihydro-2-(4-methoxyphenyl)-1-nephthalenyl][4-[2-(1-pyrrolidinyl)ethoxy]phenyl]-,methanesulfonate. 3,4-二氢-2-(对-甲氧苯基)-1-萘基对[2-(1-吡咯烷基)苯基]酮甲烷磺酸盐。 3,4-Dihydro-2-(p-methoxyphenyl)-1-naphthyl p[2-(1-pyrrolidinyl)phenyl]ketone methanesulfonate. 雌激素拮抗药。 Trioxifene Mesylate,Lilly 133314. INN(Trioxifene),USAN.  |