网站首页  词典首页


请输入您要查询的字词:

 

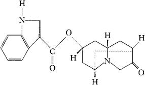
字词 甲磺酸多拉司酮
类别 中英文字词句释义及详细解析
释义 甲磺酸多拉司酮

C19H20N2O3·CH4O3S=420.48

CAS-115956-13-3

CAS-115956-12-2(dolasetron)

(2α,6α,8α,9aβ)-1H-吲哚-3-羧酸八氢-3-氧代-2,6-亚甲基-2H-喹嗪-8-酯,单甲烷磺酸盐。

(2α,6α,8α,9aβ)-1H-Indole-3-carboxylic acid,octahydro-3-oxo-2,6-methano-2H-quinolizin-8-ylester,monomethanesulfonate.

吲哚-3-羧酸与(8γ)-六氢-8-羟基-2,6-亚甲基-2H-喹嗪-3(4H)-酮生成酯,单甲烷磺酸盐。

lndole-3-carboxylic acid,ester with(8γ)-hexahydro8-hydroxy-2,6-methano-2H-quinolizin-3(4H)-one,monomethanesulfonate.

Dolasetron Mesylate,MDL 73,147EF.

INN(Dolasetron),USAN.

随便看

 

离鸟网收录3541549条中英文词条,其功能与新华字典、现代汉语词典、牛津高阶英汉词典等各类中英文词典类似,基本涵盖了全部常用中英文字词句的读音、释义及用法,是语言学习和写作的有利工具。

 

Copyright © 2004-2024 vtrois.com All Rights Reserved
更新时间:2026/4/18 1:24:18