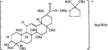
甲硫酸咯克索铵
C38H63NO8S=693.98 CAS-53862-80-9 3-羟-11-氧代-12-齐墩果烯-29-酸(1,1-二甲吡咯烷鎓-2-基)甲酯甲基硫酸盐。 3-Hydroxy-11-oxo-12-oleanen-29-oic acid(1,1-dimethylpyrrolidinium-2-yl)methyl seter methylsulfate. 3β-羟基-11-氧代齐墩果-12-烯-3-酸2-(羟甲基)-1,1-二甲基吡咯烷鎓甲基硫酸盐。 2-(Hydroxymethyl)-1,1-dimethylpyrrolidiniummethyl sulfate,3β-hydroxy-11-oxoolean-12-en-3-oate. 消炎药,抗溃疡病药。 咯克索铵甲硫酸盐。 Roxolonium Metisulfate,LaN 63. INN,USAN.  |