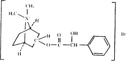
甲溴后马托品
C17H24BrNO3=370.29 CAS-80-49-9 CAS-87-00-3(homatropine) 内-3-[(羟苯基乙酰)氧]-8,8-二甲基-8-氮鎓双环[3.2.1]辛烷,溴化物。 endo-3-[(Hydroxyphenylacetyl)oxy]-8,8-dimethyl8-azoniabicyclo[3.2.1]octane,bromide. 溴化3α-羟-8-甲基-1aH,5αH-托烷鎓扁桃酸盐。 3α-Hydroxy-8-methyl-1αH,5αH-tropanium bromide mandelate. 抗胆碱药,散瞳药。 溴化甲基后马托品。 Homatropine Methylbromide,MethylhomatropineBromide,Mesopin,Nopar,Novatropin,Omnibel,Sethyl. INN,BAN,BP,USAN,USP. 
|