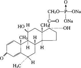
甲泼尼龙磷酸钠
C22H29Na2O8P=498.42 CAS-5015-36-1 CAS-22252-38-6[methylprednisolone 21-(dihydrogen phosphate)] (6α,11β)-1,17-二羟-6-甲基-21-(膦酰基氧)-孕甾-1,4-二烯3,20-二酮,二钠盐。 (6α,11β)-11,17-Dihydroxy-6-methyl-21-(phosphonooxy)-pregna-11,4-diene-3,20-dione,disodiumsalt. 11β,17,21-三羟-6α-甲基孕甾-1,4-二烯-3,20-二酮21-(磷酸二钠)。 11β,17,21-Trihydroxy-6α-methylpregna-1,4-diene3,20-dione 21-(disodium phosphate). 肾上腺皮质激素类药。 Methylprednisolone Sodium Phosphate, Medrol Stabisol,U-12,019E. INN,USAN.  |