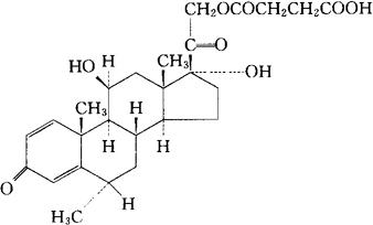
甲泼尼龙半琥珀酸酯
C26H34O8=474.55 CAS-2921-57-5 (6α,11β)-21-(3-羧-1-氧代丙氧-11,17-二羟-6-甲基孕甾-1,4-二烯-3,20-二酮。 (6α,11β)-21-(3-Carboxy-1-oxopropoxy-11,17-dihydroxy-6-methylpregna-1,4-diene-3,20-dione. 11β,17,21-三羟-6α-甲基孕甾-1,4-二烯-3,20-二酮21-(氢琥珀酸盐)。 11β,17,21-Trihydroxy-6α-methylpregna-1,4-diene3,20-dione 21-(hydrogen succinate). 肾上腺皮质激素类药。 半琥珀酸甲泼尼龙。 Methylprednisolone Hemisuccinate. USAN,USP. 
|