网站首页  词典首页


请输入您要查询的字词:

 

字词 甲基睾丸素[典]
类别 中英文字词句释义及详细解析
释义 甲基睾丸素[典]

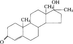
C20H30O2=302.46

CAS-58-18-4

17β-羟-17-甲基雄甾-4-烯-3-酮。

17β-Hydroxy-17-methylandrost-4-en-3-one.

雄激素类药。用于睾丸素缺乏症,子宫功能性出血,再生障碍性贫血,乳腺癌等。

甲基睾丸素(台),甲睾酮,甲基睾酮,甲基睾丸酮。

Methyltesterone.

甲基睾丸素片(甲基睾酮片),甲基睾丸素锭(台)。

INN,BP,DCIT,EP,GDP,JP,USP,USSRP,MI.

随便看

 

离鸟网收录3541549条中英文词条,其功能与新华字典、现代汉语词典、牛津高阶英汉词典等各类中英文词典类似,基本涵盖了全部常用中英文字词句的读音、释义及用法,是语言学习和写作的有利工具。

 

Copyright © 2004-2024 vtrois.com All Rights Reserved
更新时间:2026/4/18 15:16:10